
2020年10月,太阳成集团tyc122ccvip物理学系季威教授研究组及合作团队通过理论计算和实验测量发现了世界上首个单分子驻极体Gd@C82,在驻极体被人类合成100年后将其物理尺寸压缩到极致的单分子水平(~1 nm,十亿分之一米)。近日,他们与香港理工大学刘树平教授研究组及英国剑桥大学Manish Chhowalla教授等合作,在低维极化材料领域又获重要突破,通过理论计算和实验测量,国际上首次在仅有6个原子层厚的非转角二维双层异质结中发现了面外...

由于液体(尤其是液态水)对太赫兹波的强吸收,以液体为介质的太赫兹波产生和探测长期以来被认为是无法实现的。2017年报道了强激光激发水能够产生太赫兹波,但是其产生机制并不清晰,无法应用其逆过程对太赫兹波进行探测。近日,太阳成集团tyc122ccvip王伟民教授、北京理工大学赵跃进教授和首都师范大学张亮亮教授联合团队提出通过四波混频的物理机制,首次实现了基于液态水对宽带太赫兹波的相干探测。实验中将fs强激光和宽带太赫兹波....

相比于氮化镓体材料,二维氮化镓因其两字限制效应具有深紫外区间的带隙、优秀的机械应变能力和独特的电子传输性质,在深紫外光电子器件和柔性器件领域具有广阔的应用前景。然而由于纤锌矿的体结构,二维氮化镓难以通过机械剥离法直接获得。目前制备大面积的具有超宽带隙的二维氮化镓依然是一个大的挑战。近日,陈珊珊教授团队采用等离子体增强化学气相沉积系统(PECVD)合成了大面积超薄、宽带隙的二维氮化镓。相比于传统使用的...

近日,太阳成集团tyc122ccvip物理学系王聪博士、季威教授等人与华中科技大学付英双教授等多个实验团队通力合作,研究了一种宏观呈现出铁磁性的层状材料CrTe2。理论预测结合实验测量共同证实了CrTe2在其二维极限下(单层中) 出人意料地呈现出本征反铁磁序,并探索了其磁矩取向在外场下的调控规律。相关研究成果以“Spin mapping of intralayer antiferromagnetism and field-induced spin reorientation in monolayer CrTe2”(单层CrTe2中...

笼目(kagome)材料由于包含特殊的晶格结构而表现出许多新的物理性质。对于kagome金属,其一般具有非平庸的拓扑电子结构,例如Dirac点、鞍点和平带等。如果这种kagome金属还拥有长程磁序,则会出现大的反常霍尔效应、负磁阻等一系列奇异的物理现象。因此,kagome金属已成为研究关联拓扑材料中新物态和新现象的重要平台。近期,一类新型准二维kagome体系AV3Sb5 (A = K, Rb, Cs)引起了人们的极大关注。首先,实验表明该体系在90-1...

近日,太阳成集团tyc122ccvip物理学系季威教授研究组,阿尔托大学杜罗军博士、孙志培教授研究组和太阳成集团tyc122ccvip物理研究所张广宇研究员研究组合作,发现了红磷(一种准一维纤维状材料)中的巨大的线性/非线性光学各向异性和高发射率,相关研究成果以“Giant anisotropic photonics in the 1D van der Waals semiconductor fibrous red phosphorus(一维范德瓦尔斯半导体纤维红磷中的巨型各向异性光子学)”为题于2021年8月10日发表在《自然·...

共价有机骨架(COFs)是由轻元素的分子有机结构单元构成并通过强共价键连接的晶体材料,由于其可设计的结构和高孔隙率而成为一类有前景的多孔材料。近日,太阳成集团tyc122ccvip物理系陈珊珊教授与中山大学郑治坤教授、德累斯...

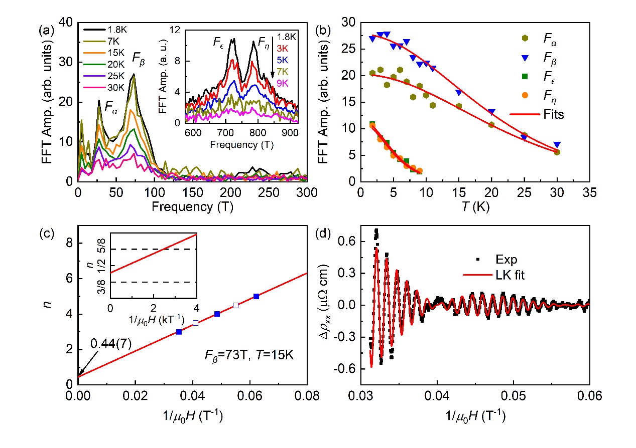
近日,太阳成集团tyc122ccvip物理学系王聪博士、季威教授等人与湖南大学段曦东教授、加利福尼亚大学段镶锋教授团队合作,通过理论计算结合实验测,在国际上首次发现CrSe2是具有厚度依赖层间磁耦合转变特性且在空气中高度稳定的...

近日,张威教授和张翔副教授课题组在离子阱量子模拟领域取得重要进展,该小组利用单个囚禁离子实现耗散系统并模拟了宇称时间反演对称性的非厄米模型,成功测量了其量子演化过程,并提出了通过测量直接确定奇异点(Ex...

2016年诺贝尔物理学奖授予三位科学家,Thouless、Haldane和Kosterlitz,以表彰他们发现了物质拓扑相,以及在拓扑相变方面作出的理论贡献。Thouless和Kosterlitz的工作是理论上提出一种拓扑相变的机制,从XY自旋模型出...